• ½Ã¼³¼Ò°³
    1. Àλ縻
    2. ºñÀü¹Ì¼Ç
    3. ¾Æµ¿ ¹× Á÷¿øÇöȲ
    4. ¿¬Çõ
    5. ¿À½Ã´Â±æ
  • »ç¾÷ ¹× ÇÁ·Î±×·¥
    1. ÇÁ·Î±×·¥ ÁÖ¿ä»ç¾÷
    2. ÇÁ·Î±×·¥ ¾È³»
  • Çý»ý¿ø À̾߱â
    1. Çý»ý¿ø Ȱµ¿
    2. Çý»ý¿ø ÀÏÁ¤
    3. ÈÄ¿ø °¶·¯¸®
    4. ÀÚ¿øºÀ»ç °¶·¯¸®
  • ÈÄ¿ø&ÀÚ¿øºÀ»ç
    1. ÈÄ¿ø¾È³»
    2. ÀÚ¿øºÀ»ç¾È³»
  • Ä¿¹Â´ÏƼ
    1. °øÁö»çÇ×
    2. ÀÚÀ¯°Ô½ÃÆÇ

Ä¿¹Â´ÏƼ

  • °øÁö»çÇ×
  • ÀÚÀ¯°Ô½ÃÆÇ
»ó´ã¹®ÀÇ
TEL. 042-582-0215

°øÁö»çÇ×

Ä¿¹Â´ÏƼ°øÁö»çÇ×

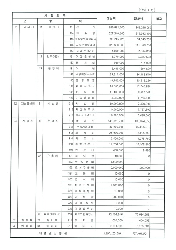
2024³âµµ »çȸº¹Áö¹ýÀÎ ½Ã¼³È¸°è ¼¼ÀÔ¡¤¼¼Ãâ °á»ê°ø°í, 2024 ÈÄ¿ø±Ý °á»êº¸°í
±Û¹øÈ£ 69 µî·ÏÀÏ 2025-03-26
µî·ÏÀÚ ¿î¿µÀÚ Á¶È¸¼ö 309¸í
÷ºÎÆÄÀÏ 82293b8.jpg   82293b9.jpg   2024³âÈÄ¿ø°ø°í.xlsx  




2024³âµµ »çȸº¹Áö¹ýÀÎ ½Ã¼³È¸°è ¼¼ÀÔ·¼¼Ãâ °á»ê°ø°í, 2024 ÈÄ¿ø±Ý °á»êº¸°í


ÀÌÀü±Û ±¸¼¼±º´ëÀüÇý»ý¿ø »ýȰÁöµµ¿ø ä¿ë °ø°í (2025-02È£)
´ÙÀ½±Û 2025³â ±¸¼¼±º´ëÀüÇý»ý¿ø ¿î¿µÀ§¿øÈ¸ ȸÀÇ·Ï(1ºÐ±â)
¸ñ·Ï
  • ¿µ»óÁ¤º¸Ã³¸®±â±â ¿î¿µ °ü¸®¹æÄ§
  • °³ÀÎÁ¤º¸Ã³¸®¹æÄ§
  • À̸ÞÀϹ«´Ü¼öÁý°ÅºÎ
  • °ü¸®ÀÚ

·Î°í

´ëÀü±¤¿ª½Ã ¼­±¸ ¿À·®4±æ 61 (º¹¼öµ¿ 283-271¹øÁö) TEL 042-582-0215/ FAX 042-582-0219
COPYRIGHT (C) 2016 ±¸¼¼±º´ëÀüÇý»ý¿ø ALL RIGHTS RESERVED